项目编号:mcuclub-cl-018
51单片机实物设计简介:
单片机类型:STC89C52
具体功能:
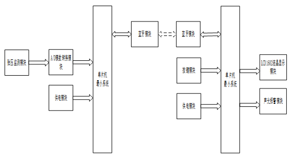
从机:
1、通过胎压检测模块,对胎压进行检测
2、通过蓝牙模块将测得数据发送到主机(1s一次)
主机:
1、通过蓝牙获取从机发送的胎压数据,当高于或低于设置的上下限时,进行声光报警
2、通过按键可设置汽车胎压的上下限值
3、通过显示屏显示汽车胎压
实物演示视频:
打开视频声音方法:鼠标放在视频中,点击右下角小喇叭图形即可;视频放大后不清晰,可将鼠标放在视频上,点击“进入哔哩哔哩,观看更高清”
仿真演示视频:
打开视频声音方法:鼠标放在视频中,点击右下角小喇叭图形即可;视频放大后不清晰,可将鼠标放在视频上,点击“进入哔哩哔哩,观看更高清”
电子版资料介绍视频:
打开视频声音方法:鼠标放在视频中,点击右下角小喇叭图形即可;视频放大后不清晰,可将鼠标放在视频上,点击“进入哔哩哔哩,观看更高清”
电子版实物资料预览

实物图
底板:底板在嘉立创进行打板,为绿色PCB板,两层板,厚度1.2,上下覆铜接地。元器件基本上为插针式,个别降压芯片会使用贴片式。
供电接口:TYPE-C

电子版仿真资料预览

仿真图
仿真软件版本:proteus8.17 (本站提供该软件免费下载链接)
电路连线方式:网络标号连线方式
注意:部分实物元器件仿真中没有,仿真中会用其他工作原理相似的元件代替,这样可能导致实物程序和仿真程序不一样

原理图
软件版本:AD2013 (本站提供该软件免费下载链接)
电路连线方式:网络标号连线方式
注意:原理图只是画出了模块的引脚图,而并不是模块的内部结构原理图
.png?imageView2/0/q/75|watermark/2/text/TUNVY2x1Yg==/font/Y29taWMgc2FucyBtcw==/fontsize/1200/fill/IzBCRjVDRg==/dissolve/100/gravity/NorthWest/dx/10/dy/10)
.png?imageView2/0/q/75|watermark/2/text/TUNVY2x1Yg==/font/Y29taWMgc2FucyBtcw==/fontsize/1200/fill/IzBCRjVDRg==/dissolve/100/gravity/NorthWest/dx/10/dy/10)
PCB图
软件版本:AD2013 (本站提供该软件免费下载链接)
PCB图是由原理图导出,封装很大一部分都是作者自己绘制,不提供封装库,只提供连接好的源文件,可以直接在嘉立创进行打板。两层板,上下覆铜接地。
注意:PCB图中间有一个项目编号,隐藏在单片机底座下,插入单片机后不会看到。如果想截没有项目编号的PCB图,可在PCB源文件中点击删除。另外,如果想在实物PCB板上加自己的信息(比如日期、学号、姓名等),可联系客服。
.png?imageView2/0/q/75|watermark/2/text/TUNVY2x1Yg==/font/Y29taWMgc2FucyBtcw==/fontsize/1200/fill/IzBCRjVDRg==/dissolve/100/gravity/NorthWest/dx/10/dy/10)
.png?imageView2/0/q/75|watermark/2/text/TUNVY2x1Yg==/font/Y29taWMgc2FucyBtcw==/fontsize/1200/fill/IzBCRjVDRg==/dissolve/100/gravity/NorthWest/dx/10/dy/10)
系统框图
绘制软件:VISIO (本站提供该软件免费下载链接)

软件设计流程
绘制软件:VISIO (本站提供该软件免费下载链接)

开题报告
下图为开题报告整体框架模板,基本上所有项目的开题报告格式都如下所示,但由于部分院校要求不一致,可能有一小部分格式有所变动。

购买后可查看具体内容!
设计说明书
总字数:16000+
摘 要
随着汽车工业的发展和道路交通网络的扩大,同时因此而引起的安全问题在人们生活中也日益严重,随之引起的交通事故在不断增多。其中由于轮胎的气压引起的比例非常之高,人们对行驶过程当中的轮胎气压的关注日益密切。汽车胎压监测技术是一种能切实有效的防止和减少由于轮胎引起的交通事故的方法。
本课题设计的胎压系统,利用安装在每一个轮胎里的压力传感器来直接测量轮胎的气压,并通过无线调制发射到安装在驾驶台的监视器上。监视器随时显示各轮胎气压,驾驶者可以直观地了解各个轮胎的气压状况,当轮胎气压太低、太高或有渗漏时,系统就会自动报警。
本论文阐述了目前国内外轮胎压力监测系统的研究和发展情况;介绍了目前轮胎压力监测系统的分类,比较了不同胎压监测系统的优点和缺点;通过分析轮胎压力监测系统的功能需求,说明轮胎压力监测系统对工作环境和系统技术的要求,设计出一种轮胎压力监测系统的设计方案;介绍了若干元器件的性能,并且比较它们之间的优点和缺点, 设计出一种基于单片机的胎压监测系统的元器件选用方案;根据设计方案,完成轮胎压力监测系统采样端和接收端的硬件设计。
关键词:单片机;轮胎;压力监测;传感器;
Abstract
With the development of the automobile industry and the expansion of the road traffic network, the safety problems caused thereby are also increasingly serious in people’s lives, and the traffic accidents caused thereby are increasing. Because of the high proportion of tire pressure, people pay more attention to the tire pressure during driving. Vehicle tire pressure monitoring technology is an effective way to prevent and reduce traffic accidents caused by tires.
The tire pressure system designed in this topic uses the pressure sensor installed in each tire to directly measure the tire pressure, and transmits it to the monitor installed on the bridge through wireless modulation. The monitor displays the pressure of each tire at any time. The driver can intuitively understand the pressure of each tire. When the tire pressure is too low, too high, or there is leakage, the system will automatically alarm.
This paper describes the current research and development of tire pressure monitoring system at home and abroad; The classification of current tire pressure monitoring systems is introduced, and the advantages and disadvantages of different tire pressure monitoring systems are compared; By analyzing the functional requirements of the tire pressure monitoring system, the requirements for the working environment and system technology of the tire pressure monitoring system are described, and a design scheme of the tire pressure monitoring system is designed; This paper introduces the performance of several components, compares their advantages and disadvantages, and designs a component selection scheme of tire pressure monitoring system based on single-chip microcomputer; According to the design scheme, the hardware design of the sampling end and the receiving end of the tire pressure monitoring system is completed.
Key words: SCM; Tires; Pressure monitoring; Sensor
目 录
摘 要
Abstract
第1章 绪论
1.1 选题背景及实际意义
1.2 国内外研究现状
1.3 本论文研究目标
第2章 系统设计方案
2.1 主要元器件选择
2.1.1 主控芯片方案选择
2.1.2 显示模块方案选择
2.1.3 按键模块方案选择
2.2 整体设计方案
第3章 硬件设计
3.1 单片机最小系统
3.1.1 主控模块电路
3.1.2 晶振电路
3.1.3 复位电路
3.1.4 电源电路
3.1.5 下载电路
3.2 胎压监测模块(XGZP6847A)
3.3独立按键模块电路
3.4声光报警电路设计
3.5 LCD1602显示模块电路
3.6蓝牙(ECB02)
4 系统程序设计
4.1 编程软件介绍
4.2 系统发射管主流程设计
4.3 接收端系统主流程设计
4.4 A/D模数转换子流程
4.5独立按键
4.6 LCD1602液晶显示子流程
4.7 蓝牙模块子流程
第5章 仿真测试
5.1 整体仿真测试图
5.2 上机运行仿真测试
5.3胎压仿真测试
第6章 实物测试
6.1 实物调试部分
6.2 整体实物测试图
6.2 上机运行仿真测试
6.3胎压仿真测试
结论
参 考 文 献
致谢
附录
附录1:原理图
附录2:PCB
附录3:主程序
购买后可查看具体内容!
答辩PPT
下图为答辩PPT整体框架模板,基本上所有项目的答辩PPT格式都如下所示,但由于部分院校要求不一致,可能有一小部分格式有所变动。

购买后可查看具体内容!